反应实例6

反应说明:该反应是Morita-Baylis-Hillman反应,也被称为Rauhut-Currier反应
反应机理

A:DABCO催化Michael加成反应
B:羟醛缩合反应
C:消去一分子DABCO(催化剂还原)
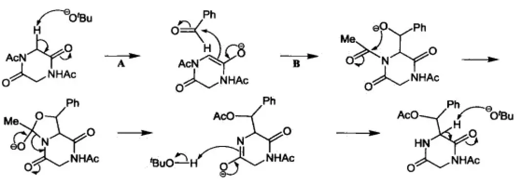
反应实例7

反应说明:该反应是在羰基的α-碳上延长碳链的反应
反应机理


A:酰胺被碱夺去一个α-氢形成烯醇盐
B:羟醛缩合,然后经过一个五元环分子内乙酰基转移
C:消去一个乙酰氧基得到产物
本文摘自---有机化学网
Feel free to call us on
025-85998075
Drop us a line anytime at
sales@popebiotech.com,
and we’ll get back
soon.
Come visit us at 南京市江宁区科学园乾德路5号