1910年,法国化学家格林纳德发现金属镁与卤代烃在醚溶剂中反应可制得“稳定”、均相的有机镁试剂(格氏试剂)。格氏试剂的制备涉及单电子转移机理。格氏试剂一般以二聚体存在。

格氏试剂及相关有机镁试剂的制备
格式试剂的传统制法是卤代烃与金属镁在干燥的乙醚或四氢呋喃中制备。制备过程必须在绝对无水无二氧化碳无活泼氢的物质条件下进行。

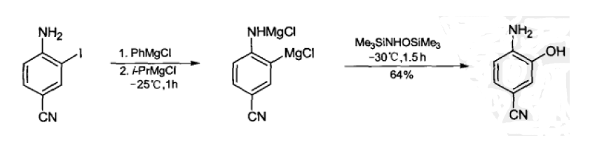
格氏试剂的第二种制备方法是用格氏试剂去质子化。

格氏试剂的第三种制备方法是金属-卤素交换。

通过有机锂试剂与格氏试剂反应,可以制得碱性较弱的镁的酸根型络合物。

参考文献
1. Grignard, V. C.R.Acad.Sci. 1900, 1322-1324.
2. Grignard, V. Ann.Chim. 1901, 7, 433-490.
3. Lai. Y. - H. Synthesis 1981, 585-604.
4. Blomberg, C. Chem. Ind. 1996, 64, 249-269.
5. Cannon, K. C., Krow, G. R. Chem. Ind. 1996, 64, 497-526.
6. Umeno, M., Suzuki, A. Chem. Ind. 1996, 64, 645-666.
7. Urabe, H., Sato, F. Metal-catalyzed [Grignard] reactions. Chem. Ind. 1996, 64, 577-632.
8. Franzen, R. G. Tetrahedron 2000, 56, 685-691.
Feel free to call us on
025-85998075
Drop us a line anytime at
sales@popebiotech.com,
and we’ll get back
soon.
Come visit us at 2 Qiande Road, Life Science High Tech Zone, Jiang Ning District, Nanjing, Jiangsu Province, China