化学反应中不仅要关注原料的安全性、主反应和主产物,还要判断在反应过程中或在后处理过程是否会生成富含能量或有毒的副产物。
某些富含能量或有毒的副产物有其独特的形成机理,需要仔细判断,要求从各反应物之间,反应物与溶剂之间,反应物与生成物之间,生成物与溶剂之间的相互关系上,以及反应条件(温度、压力、操作程序、反应内在环境如酸碱度等反应液面上空环境)上进行系统分析和评估。
可能生成危险性产物(副产物)的反应如下;
1) 可能生成爆炸性产物(副产物)的反应。
2) 可能生成有毒有害产物(副产物)的反应。
3) 可能生成腐蚀性、刺激性产物(副产物)的反应。
一、可能生成爆炸性产物(副产物)的反应
Example 1:

这是一个硝基甲烷在碱性条件下与醛基的亲核加成反应(HenryReaction)。然而硝基甲烷在强碱性条件下,自身可能会生成爆炸性极强的含能硝基乙醛肟。

在放大前,要验证是否有硝基乙醛肟产生,如有生成,产生量是多少?在萃取时,是伴随在产物中,还是在母液里,要做安全评估。
Example 2:

用MDSO或DMF做溶剂,在NaH强碱作用下,理论上有发生自身缩合反应、剧烈放热而爆炸的可能性。虽然现实中极少出现这种情况,但是一旦被某种未知因素触发,后果将不堪设想,建议改换其他安全可靠的溶剂。
Example 3:

产物从除了一个原有的对热敏感的硝基外,还产生一个易开环聚合放热的环氧乙烷,因此反应后处理过程中需要注意如下几点:一是有机相浓缩的过程中确 保较低的旋蒸温度;二是浓缩后,处理产品不能接触金属,做好严密的个人防护;三是产品不能完全脱溶蒸干,以溶液的状态进行后续的反应。
Example 4:

Oxone 为过一硫酸氢钾复合盐,本身比较稳定,是使用方便的酸性氧化剂。然而,Oxone 除了氧化反应底物硫醚为砜外,还会氧化反应溶剂丙酮,使之生成具有爆炸性的过氧丙酮,因此溶剂替换为二氯甲烷或者乙酸乙酯更稳妥。即使这样,反应结束后有机相也要用 10%亚硫酸钠溶液将多余的 Oxone 彻底淬灭掉才更安全。
Example 5:

丙烯酸酯在加热情况下可能发生放热聚合反应,密闭情况风险很大,不建议这样做,或加合适阻聚剂方可进行。
Example 6:

高温下需要注意三氯化铝升华,会凝聚在反应瓶(釜)上部,可能会发生堵塞而发生危险。本身的反应会大量放热,加底物会推高温度的快速上升,加上又在高温下进行,危险性极大,另外,一定要用机械搅拌,才能充分搅拌起来。
二、可能生成有毒有害产物(副产物)的反应
Example 1:

反应需要做尾气吸收,并做在线 HCN检测。操作区域的氢氰酸气浓度报警和泄露警示监测有仪器和化学两种方法。仪器方法:可用便携式氢氰酸气体测定仪;化学方法:可用较精确的“联苯胺”法。
Example 2:

反应中有 HCN 和 NaCN生成,需搭好尾气吸收装置,保证尾气能被次氯酸钠充分吸收,并在负压的通风橱内完成所有操作,充分做好保护措施。
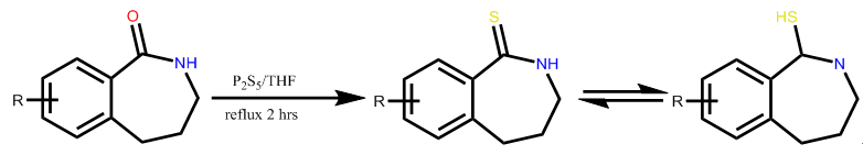
Example 3:

五氧化二磷作为硫化试剂,能将醇、羰基中的氧转变成相应的硫代化物。虽然是绿黄色结晶固体,但是遇空气中的水汽易分解成有恶臭味的硫化氢,曾经发生过恶臭气味四溢,导致整栋大楼许多员工头晕恶心的事故。反应需要在负压强大的通风橱内操作,并做尾气吸收,吸收液用 2M氢氧化钠溶液或次氯酸钠溶液。后处理的溶液也要用氢氧化钠溶液或次氯酸钠溶液做彻底淬灭处理。
Example 4:

产物属于异腈,强烈恶臭,令人恶心,注意个人防护。所有器皿都要在通风橱内用盐酸、次氯酸钠或过氧化氢做淬灭处理。用碳酸氢钠水溶液淬灭会有大量二氧化碳生成,注意防止因气泡带出液体而溢料。
Example 5:

产物异氰酸酯有特殊刺激性,而且分子量小,易挥发,加重伤害程度。要严格做好个人防护,做到不伤害自己也不要伤害别人。
三、可能生成腐蚀性、刺激性产物(副产物)的反应
Example 1:

该反应有氯化氢气体生成,反应式配平后就很明显。计算好反应底物的摩尔数,就能推算出有多少摩尔的氯化氢气体生成,这个反应不能用气球密闭(一般超过 4L就会涨破),要将生成的腐蚀性气体及时导出去,而且要有尾气吸收装置,用碱性溶液吸收。尾气吸收装置中间还要搭建一个缓冲安全瓶。后处理时,应将冷却后的反应液慢慢倒入搅拌的冰水里,期间会大量放热,注意冷却,避免溢出冲料。
Example 2:

三溴化硼及其反应副产物有强烈的腐蚀性,脱苄没有必要采用三溴化硼方法,建议采用氢化脱苄等温和的方法。
Example 3:

该反应在脱 Boc 后,游离胺会对钯有致毒作用,使钯失去活性,从而失去脱苄活性,所以要在酸性环境下进行。但是氢化瓶或者压力釜的压力表等金属元件大多不耐强酸,2M 盐酸的强酸性会腐蚀仪表器件,造成仪器过早损坏,而且也很危险。
可以再先用 2M 盐酸溶液脱 Boc,产品为弱酸性的盐酸盐,再去氢化室加氢 脱苄。氢化瓶或高压釜,偏酸性没有关系,但不能在强酸性环境下进行。
Example 4:

反应热大,乙醚的热容量很小,如果反应量大,容易冲料。最好选择异丙醚、二氯甲烷、正己烷等合适溶剂。产物具有强烈催泪性,还可能有致癌性,需要做好个人防护。用碳酸氢钠淬灭,注意有大量二氧化碳气体生成而可能导致溢出冲料。
版权声明 本文转自化学经纬,如不希望被转载的媒体或个人可与我们联系,我们将立即删除
Feel free to call us on
025-85998075
Drop us a line anytime at
sales@popebiotech.com,
and we’ll get back
soon.
Come visit us at 2 Qiande Road, Life Science High Tech Zone, Jiang Ning District, Nanjing, Jiangsu Province, China